浙江省省赛2025决赛wp
封榜前rank11最终圆梦省一,感谢队友带飞
Crypto
简单数学题
给了p和q和与差,直接相加相减得到p和q,后面直接解rsa
1 | |
AES
cbc加密,给了key生成方法,密文和iv
md5生成key
Base64
直接大厨解密
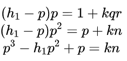
brainRSA-1
对于第一个hint可以这样变换
后面可以通过coppersmith解出p
如果m<p,那么mod n和mod p等价,所以后面phi可以用p-1来替代,这样假设能求出flag,但是求不出q无法验证
1 | |
Reverse
你是我的天命人吗
第一个函数是VirtualProtect自解密
第二个函数进入之后创建函数
输入先异或i再转成hex
直接逆向
1 | |
androidtest
jadx反编译不完全,用jeb打开发现base32的表
so层下存在密文
先base32解密
比赛期间通过测试之后猜测再xor44能得到flag
1 | |
交叉引用ret_str方法找到关键加密,Onclick里面先执行xor 44再base32加密后和密文比较
Warning-1
输入作为参数传入
调试的时候参数放到parameters里
trace xor
trace cmp
上述trace后得到如下内容
1 | |
两次256轮循环猜测可能是rc4,第一步是把明文xor 下标,然后标准rc4加密
按照思路直接写脚本,发现逆向之后就是flag
1 | |
正常做法应该写脚本模拟所有操作并trace或者一点点调试,这里小小猜测一手,算是非预期
下面脚本也可以验证加密流程
1 | |
既然这样的话我知道大部分人怎么做出来的了,这题看到key和密文长度46,猜一手rc4,然后观察解密后的数据和格式发现还需要异或i直接出,可见CTF解题还是需要一些“巧劲”
信创安全
X1-1
两次解包hap文件得到moudles.abc文件,反编译后找到Index类,发现关键加密
arg0是input,arg1是3*3矩阵,arg2是theSecondKey,arg3是arc4Key
分别进行矩阵加密(输入和arg1),异或,rc4,自定义码表的 base64
1 | |
也可以先base64和rc4解密
再进行矩阵运算
1 | |
整体逻辑很清晰,就是比赛期间写不出矩阵相关代码🤔